基于SIRS模型的核電事故致因傳播機制研究
自核電發展以來,核安全問題受到了人們的重點關注。原因在于相較于其他事故類型,核電事故所造成的影響是災難性的,如人員傷亡、環境破壞等。盡管隨著硬件和軟件系統的不斷更新,技術的發展會對核電運行安全產生積極的影響,但由于核電系統極為復雜,導致事故致因過程也十分復雜。現代核電系統越來越復雜,一方面源自傳統設計中的縱深防御,即通過增加系統的層級和冗余來保證系統安全[1]。另一方面源自自動控制技術,對系統增加了新的相互作用致使系統的復雜性增加[2]。與航空等其他行業類似,對核電事故進行有效的致因分析有助于提高核電安全。事件與事故所代表的嚴重程度不同,事件的發生原因往往能夠揭示出事故發生的機理,有些事件的發生源于偶然或運氣,事件并未演化成事故,如戴維斯貝斯核電站壓力容器頂蓋嚴重腐蝕事件[3]。同樣,經過一段時間的積累,許多事件在組織和系統內不斷地孵化,進而引發事故,如哥倫比亞航空飛機失事[4]。核電事故的發生較為稀少,但后果嚴重,分析核電運行事件原因有助于理解和預防事故的發生。
當前的研究多傾向于對影響核電安全的關鍵因素尋找,缺乏對風險在復雜網絡中的傳播分析,為了更好地控制核電風險傳播,本文借助傳染病傳播動力學,在分析比較其與核電風險傳播特性后,采用一種改進傳染病模型仿真分析核電領域風險傳播過程,并對相關因素的影響進行了比較分析,這可為核電領域提供更全面、可靠的安全保障措施,以提高核電安全水平。
一 方法概要
傳染病的傳播模型起源于18世紀對天花感染的分析[5]。隨著研究的深入,學者們陸續構建了一些傳染病模型,對傳染病的傳播進行定量研究,并逐漸從醫學研究領域擴大到一般領域的傳播機制[6-10],形成了SI模型、SIS模型和SIR模型等感染模型。SI模型是最基礎的傳染病模型,它將人群分為兩種狀態:易感者(Susceptible)和感染者(Infectious)。在SI模型中,易感者一旦接觸到感染者,就會有一定的概率轉變為感染者。且在該模型周期內將不考慮康復或死亡,即感染者會始終保持感染狀態不變。由于該模型過于理想化,因此很難在實際分析中展開。
SIS模型則是在SI模型的基礎上,增加了恢復機制,但感染者恢復后并不是直接獲得持久免疫力,而是重新變為易感者,即個體在該模型中會處于兩種狀態的循環中。SIR模型是在SI模型與SIS模型基礎上的進一步細化,考慮到感染者在恢復后將會具備免疫能力,就不再參與疾病的傳播過程。該模型更加貼近現實,能夠更準確地模擬具有康復和免疫保護機制的傳染病傳播的動態過程。此外,SIR模型還可以作為更復雜的傳染病模型的基礎,具有良好的拓展性。因此,本文主要是在SIR模型的基礎上進行完善。
SIR模型規定了三種狀態的人,包括健康狀態、感染狀態和免疫狀態[11]。其中S代表處于健康狀態的人群,I代表已感染的人群,R代表免疫人群,見圖1。根據SIR模型做如下假設:

圖1 SIR傳染病模型
假設1:在同一時刻t下,S(t)表示處于健康狀態的個體數量或比例,I(t)表示處于感染狀態的個體數量或比例,R(t)表示治愈后處于免疫狀態的個體數量或比例。
假設2:健康狀態的人不具有傳染的能力,但是會有一定概率被感染者感染,稱為易感者,感染率記為α。
假設3:感染的患者有一定的概率被治愈,成為健康的人,稱為移除者,感染者的治愈率為β。免疫狀態的患者不會再被感染,也不會參與任何感染過程。
傳染病動力學研究旨在理解和描述傳染病的傳播過程,通過建立數學模型,從定量的角度實現對傳染病模型的研究[12]。使用該方法的過程中,可以綜合考慮種群的生長特性、傳播規律,以及可能與之有關的因素,建立能夠反映其傳染動態特征的數學模型[13]。因而可采用公式解析法或數值仿真法,來研究傳染病的傳播規律和控制策略,為預測和控制傳染病提供科學依據。
二 SIR傳染病模型構建與分析
(一)復雜網絡構建
1.文本預處理
本文選取了152份對事件描述相對完整的核電運行事件報告,其中包括事件經過、主要的失效點、事件原因等,并通過整合報告內容,使得抽取過程更加方便。為幫助機器更好地理解報告中所包含的大量核電領域的專業名詞,可以采用預處理來實現文本的結構化。特別是在詞語分割的過程中,本文使用了自定義的核電詞匯詞典,確保分詞準確,最終形成可用于事件抽取的文本語料庫。
2.事件抽取
在報告整合的基礎上,本文事件抽取主要包括事件觸發詞檢測和事件判定兩個步驟[14]。首先,采用自然語言處理技術進行文本預處理,對核電運行事件報告進行文本的清洗和過濾,切割為以詞語為單位的文本集合。利用Hanlp進行詞性分析,判斷是否為事件觸發詞。其中若句子中包含表1中所示的因果提示詞類觸發詞,則該句子為顯式因果句,按照顯式因果關系抽取的方法抽取其中的因果關系事件對[15]。
表1 句法結構提示詞對應表

與此同時,由于事件報告中大量語句中并不包含因果提示詞,例如“管理團隊開展的風險分析不足,包括設計和改造風險評估以及維修的易損性,設備運行狀態超出設計規范”。在該文段中不包含上述的因果關系詞,但是從中能夠得到一條因果關系鏈:風險分析不足→超出設計規范。中文文本中隱形關系多通過獲取詞性、句法等數據特征進行定位,由于隱式句中不包含因果關系詞,因此需要選擇其他的詞語來當作觸發詞。本文采用詞性過濾的方式,保留詞性為動詞的詞語,對隱式因果關系進行抽取,并通過依存句法分析,識別出事件對,將其存儲至事件庫中。
3.文本事件泛化
在核電運行事件報告中,存在不同事件的表述指代的是同一事件,如“程序不完善”“大綱內容不全面”“管理流程不完善”“無操作規程”都是指代“程序不完善”。本節將采用相似度計算手段解決核電運行事件報告中不同表述的歸類問題[16]。對于發生類與結果類事件,將向量空間中兩個向量夾角的余弦值作為衡量兩個事件間的相似程度[17]。余弦值越接近1,就表明夾角越接近0度,兩個向量越相似。

對于事件相似度大于0.4且有較多相似事件的具體事件,將其與影響核電安全的致因因素進行對應,規范表達[18]。將事件報告抽取結果所得的演化事件進行歸一化處理后存儲到Gephi軟件[19],得出核電事故的復雜網絡,其中包括738事件對,見圖2。

圖2 核電致因網絡圖
核電運行事件復雜網絡結構的直徑為6,平均路徑長度為2.289,即最長的事件演化路徑包含6個致因因素的鏈路,每個節點平均2步就可以與另外一個節點產生較強的關聯,網絡整體的分離程度較小,演化效率較高。觀察復雜網絡可得出核電運行事件的發生,不僅僅是單一因素的線性影響,各層級之間的致因因素是交互影響的,且具有不確定性,因此會出現多種鏈路組合,使得預防工作難以進行。在網絡結構中節點M1(安全重視程度不足)、M4(程序不完善)、M5(風險分析不足)、M7(文件記錄不完善)、M9(監管不到位)、E1(設計不合理)、H1(操作失誤)、H2(程序執行錯誤)、P1(反應堆停堆)、P5(軟件/硬件系統故障)分布明顯較高,分別為24、42、40、23、25、24、28、29、30、22,這表示以上節點是導致眾多類型事件發生的原因,其對事件演化過程的影響較為關鍵。其中E1、H1、H2的特征向量中心值比較大,表明該節點和與之相連的節點均十分重要,對其之間的鏈路進行截斷,可有效減少事件的發生。為進一步驗證上述關鍵節點對核電致因網絡風險傳播的影響,本文將采用構建SIR模型深入分析核電致因網絡安全風險的傳播過程。
(二)SIR模型的建立
1.特性分析
結合上節所得核電致因網絡,進一步比較分析該復雜網絡的傳播過程與傳染病的傳播過程,從而證明傳染病模型在核電領域的適用性。
(1)在核電致因網絡中,將不同的事件因素視為網絡中的節點,彼此之間形成網絡。在傳染病模型中,人群中的每個個體可以被視為一個節點,通過相互之間的接觸形成傳染鏈。致因因素之間存在導致關系,比如人員經驗、認知不足會導致其操作失誤。類比到傳染病模型中,某個個體患病可能通過接觸傳播給其他個體,形成傳播鏈路。
(2)類比于傳染病模型中的個體狀態,核電致因網絡中的節點也會因內部管理和外部環境的因素而處于不同的狀態。不同節點之間的狀態差異會對事件傳播的速度和規模產生影響,因此也可通過對其進行控制進而降低核電系統風險產生的影響。
(3)在SIR模型中,由感染者變為移出者后,此類人員將不會再次被感染,在狀態上與操縱員在進行相關培訓與學習后,增加了自身技能的積累以及對相關事件的關注度,使得部分事件在一定時間內處于受控的狀態,不會再進行進一步的類似傳播。
由上述分析比較可知,核電致因網絡中的節點功能狀態、整體特性與傳染病傳播過程的特點非常相似。因此,從理論上講,研究核電事故風險致因的傳播過程,可以借鑒傳染病傳播動力學的模型和方法。但是,考慮到在實際工作中,核電事故的傳播受到人為因素的影響,如操縱員的應對措施和決策。因此,在模型中需要考慮人的行為和決策因素。這可以通過引入人為控制因素和行為模型來實現,以反映操縱員在事件發生時的決策過程和應對措施的效果。此外,還需要考慮到核電事故的時間演化特性。事故的發展過程可能不是一次性的,而是在一段時間內逐漸演化的。因此,需要在模型中引入時間因素,以反映事故的時間動態性。
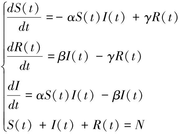
本文使用優化的SIRS模型結構描繪核電事故風險致因的傳播過程,見圖3。引入免疫系統缺陷機制,分析風險感染率、恢復率和免疫缺陷率這三個關鍵參數對風險傳播的影響。要考慮多個因素,避免僅僅關注單一因素導致研究結果的片面性,因而要構建更全面的SIRS模型來研究核電運行事件風險傳播機制,使傳播路徑更加廣泛、更符合實際情況。

圖3 核電致因風險傳播過程
結合核電致因網絡中各個事件節點的變化特性,將其分為三種狀態:隱患狀態、危險狀態、控制狀態[20]。潛在的隱患狀態節點通過與其他節點不斷地接觸,產生被傳染的概率,即網絡中存在的風險感染率α。設間隔時間t內所有可能發生接觸的節點數為S(t)I(t),則實際發生傳染的節點數為αS(t)I(t),這部分代表隱患狀態節點減少的數量與危險狀態節點增加的數量。同理受到恢復率的影響,同一時間內危險節點數減少βI(t),這部分節點進入受控狀態。在此基礎上引入的免疫缺陷率γ使得有γR(t)個受控狀態節點在間隔時間t內重新變為隱患狀態。
2.假設條件
基于以上傳播規則,需對當前核電風險傳播過程做出如下假設:
(1)核電運行事件致因網絡中總事件數量不變,將其分為隱患狀態S(t)、危險狀態I(t)和控制狀態R(t),且三種狀態下事件數之和等于事件對總數,即S(t)+I(t)+R(t)=N。
(2)風險傳播過程中,并非只存在單向傳播,而是相鄰節點之間的狀態均會產生影響,類似于傳染病的無向傳播。
(3)存在免疫失調機制,即特定條件下,處于受控狀態的事件可能會失去免疫功能,轉變為潛在的隱患狀態事件。
根據以上特性分析與假設建立相應的系統動力學方程組為:

其中,初值S(0)>0;I(0)>0;R(0)>0;α>0;β>0。
三 仿真分析
本節將模擬核電運行事件致因因素在實際風險傳播中的動力學過程,基于改進SIR模型,利用matlab2020數學建模工具進行仿真,通過仿真模擬來觀察和分析模型中風險感染率α、恢復率β和免疫缺失率γ的變化,以及上述不同參數狀態下各事件數量的變化情況。
(一)感染率變化對風險傳播過程的影響
在實際的核電運行事件中,感染率的大小在一定程度上體現了核電廠在面對風險時的快速反應力和抵抗力。在該網絡中,規定初始節點均處于隱患狀態,由于核電廠在任一時刻的內外部環境不同,因此各個節點受到風險沖擊后感染為危險狀態的發生頻率不同。為模擬不同感染率對該網絡的影響,本文選取0.1、0.15、0.2、0.25、0.3作為感染傳播參數,致因網絡的傳播參數控制為β=0.1、γ=0.1、N=738、t=30,將以上參數代入仿真中,得到各類狀態事件數在風險傳播過程中的變化,見圖4和圖5。

圖4 不同感染傳播參數下S(t)變化圖

圖5 不同感染傳播參數下I(t)變化圖
由仿真可得出,當α=0.10時,隱患狀態事件數在t=18時達到極小值61。當α=0.15時,隱患狀態事件數在t=12時達到極小值32。當α=0.20時,隱患狀態事件數在t=9時達到極小值20。當α=0.25時,隱患狀態事件數在t=8時達到極小值14。當α=0.30時,隱患狀態事件數在t=6時達到極小值10。分析數據變化可知,感染率對風險傳播速度和高度的作用較為顯著。隨著α的增大,系統受到的風險沖擊更大,隱患狀態事件數量下降得更快。系統的感染率越大,那么當危險發生時,留給操縱員用來反應事件的時間越短,此時核電系統的安全可控性越差。
危險狀態事件數的具體變化為,當α=0.10時,在t=14時達到極大值464。當α=0.15時,在t=9時達到極大值527。當α=0.20時,在t=7時達到極大值564。當α=0.25時,在t=6時達到極大值589。當α=0.30時,在t=5時達到極大值608。與之前不同的是,感染率的降低不僅降低了穩態內危險狀態事件數量,同時增加了系統達到最終穩態水平所需的時間。綜上可知,風險感染率與核電系統安全呈負相關,感染率越大,核電安全越難以控制,且危險狀態下的節點變化速度更大,數量更多。
(二)恢復率變化對風險傳播過程的影響
在核電運行事件發生后,操縱員需第一時間根據現場情況以及自身所具備的能力,來應對緊急情況。操縱員自身所具備的能力或經驗差異會導致系統恢復率的不同。與此同時,相關人員需要通過匯報或形成報告的形式對系統上一層進行反饋,企業的組織或管理層依據反饋采取管理措施。為體現不同恢復率對致因網絡風險傳播的影響,本文設置0.05、0.1、0.15、0.2、0.25作為風險控制參數,其他控制參數為α=0.1、γ=0.1、N=738、t=30,各類狀態事件在風險傳染過程中的數量變化見圖6和圖7。

圖6 不同恢復參數下I(t)變化圖

圖7 不同恢復參數下R(t)變化圖
從圖6可知,隨著β增大,危險狀態事件數的極值分別為574、464、377、306、246,呈現明顯的下降趨勢,且最終平穩狀態下的數量最小。從圖7可知,當β=0.05時,受控狀態事件數在t=30時達到極大值222。當β=0.10時,受控狀態事件數在t=30時達到極大值320。當β=0.15時,受控狀態事件數在t=26時達到極大值364。當β=0.20時,受控狀態事件數在t=25時達到極大值382。當β=0.25時,受控狀態事件數在t=25時達到極大值383。隨著恢復率的增大,處于受控狀態的節點數量增加。因此提高系統的恢復能力可以增強對安全的控制。當到達一定閾值后,受控狀態事件數量不再隨著β增加反而降低。出現這一現象的原因是,核電系統受到風險沖擊時具有突發性,留給操縱員反應的時間較為緊迫。風險控制參數的增加使得操縱員將更多的精力放在危險狀態事件的處理上,減少了對受控節點的監督,讓其有更大的可能轉為隱患或危險節點。仿真結果表明,當網絡結構中恢復率控制在β=0.15時,系統的風險控制效率會達到最好的狀態。
(三)免疫缺失率變化對風險傳播過程的影響
風險時時刻刻都會存在,處于受控狀態的節點往往也會因操縱員與設備方面的不足而轉化為隱患節點,如安全重視不足、風險分析與監管的不足、設備的維修與改進等。通常免疫缺失率對系統影響幅度均較小,本文設置0.05、0.1、0.15、0.2、0.25作為免疫缺失參數進行傳播仿真,控制其他參數為α=0.1、β=0.1、N=738、t=30,各類狀態事件在風險傳播過程中的數量變化見圖8和圖9。

圖8 不同免疫缺失參數下S(t)變化圖

圖9 不同免疫缺失參數下R(t)變化圖
從仿真結果可以得到,與感染率和恢復率相比,不同的免疫缺失率對受控狀態事件數的穩態水平影響不大。但隨著免疫缺失率的增加,受控狀態事件節點數減少,隱患狀態事件節點數增多,就增加了系統感染風險的概率。因此,企業激勵操縱員保持良好的工作狀態以及應對突發事件的反應力具有一定的意義。
四 結 論
借鑒以往學者對安全風險傳播的相關研究,考慮到在實際工作中存在的人為因素,本文對傳統的SIR模型進行了優化,引入免疫缺失機制,考察了風險感染率、恢復率和免疫缺失率3個關鍵參數對風險傳播的影響,并運用復雜網絡和生物學中SIRS傳染病模型,對核電領域復雜網絡的風險傳播過程進行了研究,得出如下結論:
一是在核電系統風險傳播過程中存在一種“超調”現象,即在系統達到穩定狀態之前,事件節點數目會短暫地超越均衡值,然后逐漸趨于穩定。這種“超調”現象反映了核電系統中風險傳播的動態特性,在響應風險事件時會出現暫時的不穩定狀態,所以系統應增加一定的限度來應對這種瞬時的不穩定。
二是核電致因網絡中的感染率、恢復率、免疫缺失率均會影響風險傳播速度,并對系統最終的穩定水平產生影響。這些參數的設定決定了節點間風險傳播的速度和強度,直接影響了系統的穩定程度。合理調節這些參數可以幫助我們更好地理解和控制核電系統中風險傳播的規律。
三是降低風險感染能力能夠對風險在核電致因復雜網絡中的擴散速度與干擾程度起到控制作用。反之,一味地提升恢復能力并不能有助于改善風險干擾下核電致因復雜網絡的環境,促進核電致因復雜網絡恢復穩定。
根據以上內容分析可得,不同的感染率以及恢復率對系統的穩定性影響效果較為明顯,因此控制核電風險傳播,提高系統安全水平,可從降低感染率與提高恢復率兩方面入手。在核電致因網絡中,程序不完善、風險分析不足、操作失誤、監管不到位、設計不合理等節點的總度排名靠前,即與這類節點產生關聯的致因種類更加廣泛,相應的此類節點的感染率更大,因此可作為避免引起后續事件的關鍵節點。其中程序執行錯誤、操作失誤、設備調試不規范等節點的特征項向量中心值更高,即該節點的重要性和與之相鄰節點的重要性綜合更大。要加強風險應對能力,有效提高系統的恢復率,提升對核電運行事件的應對處理能力,控制核電事故的進一步惡化,可從上述節點出發。根據分析結果,對相關核電企業提出以下建議來改善安全管理,以減少核電事件的發生。核電企業應審查和改進現有的程序和操作規范,確保其與實踐和標準相符合。同時,應進行培訓和監督,確保員工正確執行程序并遵守操作規范,減少操作失誤和程序執行錯誤的發生。此外還應建立健全的風險管理制度,包括風險評估、風險控制和風險監測等方面。對潛在風險的識別和評估,可以采取相應的措施來降低風險并防止事件的發生。在設備方面,應確保設備調試過程符合標準和規范,嚴格按照程序進行操作,并加強設備的維護和監控,定期檢查設備的運行狀態,及時發現并修復潛在問題,以減少設備故障對事件發展的影響。
現實中的核電系統非常復雜,不同時間段下影響核電運行安全的致因因素也各不相同。本文采用引入免疫系統缺陷機制的SIRS模型對核電事故風險傳播進行了初步仿真研究,后續可以在此基礎上增加更多機制,從而使其更加貼合現實的復雜情況。此外,本文選取了中國11家核電廠的152份核電運行事件報告,盡管從中可以獲得有意義的信息,但為了獲取更加精確的數據內容以及仿真分析,可以進行進一步的數量擴充。
免責聲明:本網轉載自合作媒體、機構或其他網站的信息,登載此文出于傳遞更多信息之目的,并不意味著贊同其觀點或證實其內容的真實性。本網所有信息僅供參考,不做交易和服務的根據。本網內容如有侵權或其它問題請及時告之,本網將及時修改或刪除。凡以任何方式登錄本網站或直接、間接使用本網站資料者,視為自愿接受本網站聲明的約束。

