近年來頻繁遭遇的極端天氣,已經引發了有關能源供應可靠性的巨大擔憂。比如不久前發生的加州與德克薩斯州大停電,就凸顯了現有電力基礎設施的脆弱性。至于核電,此前已有研究表明,溫度上升將帶來冷卻方面的問題。而近期一項針對更廣泛氣候事件的綜合分析,更是指出了炎熱天氣之外的全方位氣候難題。

研究配圖 - 1:各種氣候因素均可導致核電廠的運營中斷
更高的溫度,意味著自然冷卻的效率也越來越差。不過新研究指出,颶風和臺風已成為核電站運營中斷的主要原因,至少在北美、南亞和東亞都是如此。
為應對風暴而執行的預防性停運,其實不難理解。但其它因素的考驗,同樣不容小覷 —— 比如因水母種群的異常增殖而堵塞冷卻水進水管道。

研究配圖 - 2:核電站十年平均停電頻率的變化
總體而言,新研究分析計算出了與氣候相關的核電站停運頻率,幾乎是 1990 年代的八倍。
研究還預計,在未來 40 年里,全球核電站將因此損失高達 1.4%(約 36 TWh)的能源產出。在 2081 - 2100 年間,更是更會增長到 2.4%(即 61 TWh)。

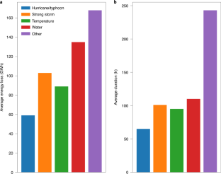
研究配圖 - 3:2010 - 2019 年間因氣候引發的核電站停運分析
研究作者分析了國際原子能機構的公開數據庫,以確定世界上 408 個正在運行的反應堆的運營數據(與氣候部分或完全相關)。
計劃外的停電,往往會留下清晰可查的記錄。然后將相關數據與過去 30 年進行比較,即可預估未來的停電頻率和相關趨勢。

研究配圖 - 4:反應堆年能量損失 / 停電頻率比較
為了解哪些類型的氣候事件對核電影響最大,作者還調取了 2010 - 2019 年間的更詳細數據。
盡管文章沒有將報告的事件與氣候變化直接聯系起來,但還是得出了一個明確的結論 —— 受一系列氣候事件影響而造成的停電頻率,已呈現總體上的增加趨勢。

研究配圖 - 5:氣候相關事件引發的全面停電特征
研究主要指出了兩大類型的氣候因素,一類是高溫、干旱、野火引發的“熱破壞”,另一類則是包括颶風、臺風、雷暴、洪水在內的“風暴”事件。
比如在干旱的情況下,核電站將缺乏足夠的水來冷卻反應堆。然而在全球變暖的大趨勢下,生態系統已經給出了更加異常的反饋 —— 比如水母種群數量暴增而堵塞進水管。

研究配圖 - 6:氣候相關停電導致的年度能源損失的預期變化
最終作者計算得出,與氣候相關的平均停電頻率,已從 1990 年代的 0.2 次 / 年,增加到了 2010 年代的 1.5 次 / 年。
回顧性的分析進一步表明,溫度每升高 1℃(高于 1951 - 1980 之間的平均),發電廠的能源輸出也下降了約 0.5% 。

有關這項研究的詳情,已經發表在近日出版的《自然能源》(Nature Energy)期刊上。原標題為《Increase in frequency of nuclear power outages due to changing climate》。
免責聲明:本網轉載自合作媒體、機構或其他網站的信息,登載此文出于傳遞更多信息之目的,并不意味著贊同其觀點或證實其內容的真實性。本網所有信息僅供參考,不做交易和服務的根據。本網內容如有侵權或其它問題請及時告之,本網將及時修改或刪除。凡以任何方式登錄本網站或直接、間接使用本網站資料者,視為自愿接受本網站聲明的約束。

